보험 잘알못 가입자 입장에서 적어보는, 나는 왜 Wealth Advance Savings Series II - Ultimate에 가입했나?
나는 보험을 잘 알진 못한다. 하지만 노후 대비를 위한 투자이자 배팅으로 2021년, 홍콩 AXA 보험회사에서 내놓은 상품 Wealth Advance Savings Series II - Ultimate에 가입을 했고, 올해로 가입 4년 차가 된다.

Wealth Advance Savings Series II - Ultimate 상품은 무엇인가?
홍콩 AXA 회사에서 내놓은 상품으로, '유배당 저축보험'이다. 한국도 옛날 옛적에는 '유배당' 보험 상품이 있었다고 한다. 그런데 하나 둘씩 사라지면서 이제 더 이상 유배당 보험 상품을 찾아볼 수 없게 되었다. 하지만 아직 미국, 캐나다, 영국, 홍콩 등 해외에는 유배당 보험상품이 존재한다. 보험사가 가입자의 돈을 굴려 이득을 보면, 그에 대한 대가로 배당을 해주는 거다.
내가 이 보험에 가입한 것을 '투자'이자 '배팅'이라고 표현한 것은, 여전히 이 보험이 어떤 보험인지 잘 모르겠기 때문이다. 월급이 작고 소중해서 큰돈을 배팅하진 못하고, 한 달에 33만 원 수준으로, 연 3,000달러를 납입하고 있다. 10년간 납입하기로 AXA와 약속했다. 그냥 내게 원래 없는 돈이라고 생각하고 무식하게 무조건 납입하고 있다.
한국의 보험 상품과 다르게 이 보험상품은 매년 1회 '연납입'을 해야 한다. 그래서 매월 33만원 적금으로 연납입액을 준비해서, 납입해야 하는 월이 되면 은행에 가서 해외 송금을 한다.
해외 송금을 할 때마다 이렇게 하는게 맞는 건지 매번 헷갈린다. 그래서 매년 해당 보험을 중개해 준 담당자에게 연락을 해서 물어보곤 한다.



어차피 연 1회 담당자에게 연락을 해야 하는 이유는, 송금증을 사진찍어 제출해야 했기 때문이다. 송금증을 제출해야 했던 이유는 정확하게 기억은 나진 않는데, 중개회사에서 나의 명의로 이전하는 과정이 있었던 같다.
Wealth Advance Savings Series II - Ultimate 에 가입해서 얻는 게 뭔데?
상품을 가입할 때 받은 상품설명서가 모두 영어로 되어 있어서 솔직히 다 이해하진 못했다. 한국어로 설명을 해주긴 했는데 다 기억하지도 못한다.
EMMA by AXA 라는 홈페이지에 들어가면 나의 납입 히스토리를 볼 수 있고, 내가 가입한 상품에 대한 policy anniversary statement를 다운로드하여 볼 수 있어서 한 번 받아봤다.

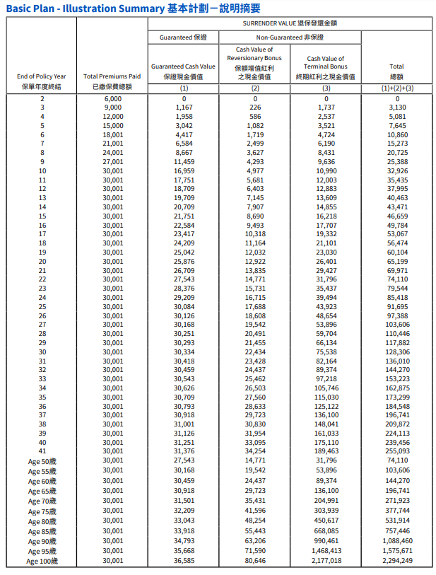
10년차에 납입이 종료되고, 나의 자본금(?)은 30,001달러로 끝이 난다. 이 부분은 이해가 된다.
그러나 모르는 단어 투성이다. 아래 단어를 이해하지 못해, 궁극적으로 내가 얻을것이 뭔지 잘 모르겠다. (아시는 분 있으면 댓글로 좀 알려주세요......😂)
- Surrender Value
- Guaranteed
- Non-Guaranteed
- Cash Value of Reversionary Bonus
- Cash Value of Terminal Bonus
SURRENDER VALUE가 뭔지, GUARANTEED 와 NON-GUARANTEED로 나뉘는 것은 왜인지, 그래서 TOTAL 저 금액을 받을 수 있다는 건지도 잘 모르겠다.
시장이 좋아서 최상의 시나리오일 때 NON-GUARANTEED된 금액을 받을 수 있다는 걸까? 그럼 시장이 폭망 하면, 나는 GUARANTEED 된 금액만 받을 수 있는 걸까...? 그럼 시장이 폭망 하는 경우, 나는 55살이 되어서야 납입한 원금에 맞먹는 30,168달러를 받을 수 있다는 건가? 이 돈을 안 건드리고 100살까지 놔두면 30,0001달러가 36,585원이 된다는 걸까...?
표를 쳐다보고 있어도 무식한 나는 잘 모르겠다... ㅎㅎ 그저 깨지말고 10년 납입 완료하는 게 목표다.
Wealth Advance Savings Series II - Ultimate 에 가입을 결정한 이유
1. 시간의 힘은 무시 못한다.
- 당장 보험에 부을 돈이 없어서 가입을 안하려고 했는데, 엄마가 이 상품 설명을 들으시더니 가입해 봐도 좋겠다고 했다. 엄마가 가입하기에는 남은 시간이 얼마 없어 상품의 효과성이 떨어질 거 같고, 너는 아직 젊으니 가입하면 뭐라도 될 것 같다고 하셨다. 그리고 작지만 월급은 매년 오르고, 앞으로 나이가 들면서 수입이 늘어날 수 있으니 지금 좀 빠듯하더라도 일단 어릴 때 가입해 놓는 것이 좋겠다고 하셨다.
2. 해외 상품 하나쯤 갖고 있으면 좋을 것 같아서
- 계란을 한 바구니에 담지 말라는 격언처럼, 한국 상품이 아닌 외국 상품이 있으면 좋겠다고 생각했다. 달러로 보험료를 납입하는 것이기에, 환율이 요동쳐서 한국 환율이 폭망해도, 달러를 가지고 있으면 리스트 헷지가 가능하지 않을까? 하고 생각했다.
3. 자녀에게 물려줄 수 있어서
- 이 상품은 오랫동안 들고 있다가 수익자의 이름을 자녀로 바꿀 수 있다고 한다. 자녀에게 물려줌으로서 발생하는 세금은 없다. 내게 아직 자식은 없지만, 혹시나 나중에 자녀가 생긴다면 이런 방식으로 자녀의 미래를 위한 울타리를 쳐줘도 되겠는데? 하고 생각했다.
4. 중도 인출이 가능해서
- 정확히 몇년이라고 했는지는 기억이 안 나는데, 3년인가가 지나면 보험료가 들어있는 통장에 발생한 '이자분'에 대해서는 쉽게 돈을 빼 쓸 수 있다고 했다. (그런데 내게 얼마의 이자가 발생했는지 어떻게 확인하는지를 모르겠다...) 다만, 한국에 있는 ATM에서 돈을 인출하기 위해서는 일단 홍콩에 직접 방문해서 카드를 발급받아야 한다고 했다. 10년 동안의 보험 납입이 끝나기 전에 한 번은 홍콩에 갈 일이 있지 않을까, 하는 생각으로 기다리는 중이다.
이 외에 해당 상품의 장점만을 구구절절 설명해 놓은, 홍콩 AXA에서 만든 아래 영상을 보면 좀 더 희망 회로를 돌리기 쉬워진다.
Wealth Advance Savings Series II - Ultimate, 그래도 걱정되는 부분
이 상품에 처음 가입할 2021년 당시에도 홍콩 국민들의 반중국 시위가 아주 활발한 시기였다. 그때부터 지금까지 계속 드는 드는 걱정은, 홍콩의 경제가 망하면 어쩌지? 하는 것이다. 홍콩에 중국이 점점 더 많이 관여하게 되면서, 수 많은 금융회사들이 홍콩을 떠나고 있다는 소식을 들었다.
Wealth Advance Savings Series II - Ultimate에 들어가 있는 내 돈으로 홍콩 AXA가 어떤 상품에 투자를 해서 돈을 굴리는지는 모르겠지만, 어쨌든 '홍콩' AXA 보험회사의 상품이라는 점에서 혹시나 내 돈이 잘못되면 어떡하지? 하는 걱정을 가끔 한다.
No Risk, No Return이라는 생각으로 가입을 결정했고, 계속 이 생각을 유지할 수밖에 없다. 2021년에 이 상품을 설명해 주셨던 직원분의 말로는, 혹시라도 홍콩 AXA가 망하면 프랑스 AXA 본사로 편입돼서 상품은 계속 운용될 테니 걱정하지 말라고 했다.
지금까지 그래왔던 것처럼 나는 작은 월급에서 일부를 떼어, AXA에 내년에 납입할 돈을 차곡차곡 모을 거다. 10년을 완납할 거고, 이 돈이 우리의 노후에 어떤 좋은 것을 가져다줄지 가만히 놓고 지켜볼 생각이다.
혹시 이 상품에 가입한 다른 분이 있다면, 지금까지의 경험은 어떠했는지 댓글로 나누어 주세요! 그리고 현재 내 돈이 어떻게 굴러가고 있는지 확인하는 방법을 아시는 분이 있다면 알려주세요ㅠㅠ
'재테크 > 돈이되는정보' 카테고리의 다른 글
| 바뀐 외국인 국민건강보험, 외국인 배우자 해외 나갔다가 들어오면 건강보험 적용되나요? (3) | 2024.11.18 |
|---|---|
| 청년희망적금 만기 후 KB공동구매정기예금 가입! 청년도약계좌 가입 실패 ㅠㅠ (0) | 2024.02.22 |
| ESG경영 하는 기업 찾기, 기업별 ESG 점수 한눈에 보는 법 (0) | 2023.09.14 |
| 서울시 기후동행카드 사용처, 신청방법, 카드 가격 총 정리 (0) | 2023.09.12 |
| 삼쩜삼 환급 후기, 2022년 종합소득세 환급 신청하기 (0) | 2023.09.06 |